Translate

Download Pogil-Answer-Key-Succession Hardcover

Reading Online Pogil-Answer-Key-Succession rtf





  • Read Online Logilink_Wl0157 Storage Enclosure Audio CD
  • Download Mercedes Repair Manual Free Download Hardcover
  • Read Online As Moradas Dos Filosofos. Kindle Editon
  • Download Call Of Cthulhu: Horror Roleplaying In The Worlds Of H. P. Lovecraft, 6th Edition Reader
  • Read Discovering Fiction Answer Key Epub
  • Download Foundations Of Geometry Answer Key Library Binding
  • Download Iec-Centrifuge-Model-K-Manual PDF
  • Read Durabrand Ht-400 User Guide mobipocket
  • Read Plumbs Veterinary Drug Handbook PDF
  • Read Online Periodic Trends Reactivity Lab Answer Key Doc
  • Read 2013-14-Economic-Report-On-Retail-Mail-And-Specialty- Library Binding
  • Read Glencoe Accounting Chapter Test Answers Doc
  • Read Teologia Sistematica Stanley Horton Pdf Gratis Reader
  • Download Iso 4967 Reader
  • Read Online 1997 Cadillac Eldorado Service Manual Free Downloa Reader
  • Read Online Raise Red Worms --Article-- Doc
  • Read The Small House Book Pdf Epub
  • Read Online Poulan Pro 650 Lawn Mower Manual mobipocket
  • Download John Deere Gator Service Manual 6x4 mobipocket
  • Read Online Perkins-Diesel-Engine-Manuals rtf

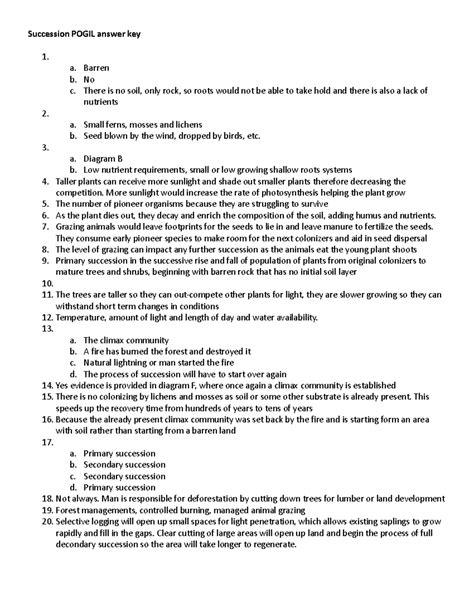
  • Pogil-Answer-Key-Succession

    Pogil-Answer-Key-Succession

    Pogil-Answer-Key-Succession


    0 Response to "Download Pogil-Answer-Key-Succession Hardcover"

    Post a Comment